Limited-Time Offer: Enjoy 50% Savings! - Ends In 0d 00h 00m 00s Coupon code: 50OFF
Welcome to QA4Exam
Logo

- Trusted Worldwide Questions & Answers

Most Recent IFoA_CAA_M0 Exam Dumps

 

Prepare for the IFoA Certified Actuarial Analyst exam with our extensive collection of questions and answers. These practice Q&A are updated according to the latest syllabus, providing you with the tools needed to review and test your knowledge.

QA4Exam focus on the latest syllabus and exam objectives, our practice Q&A are designed to help you identify key topics and solidify your understanding. By focusing on the core curriculum, These Questions & Answers helps you cover all the essential topics, ensuring you're well-prepared for every section of the exam. Each question comes with a detailed explanation, offering valuable insights and helping you to learn from your mistakes. Whether you're looking to assess your progress or dive deeper into complex topics, our updated Q&A will provide the support you need to confidently approach the IFoA_CAA_M0 exam and achieve success.

The questions for IFoA_CAA_M0 were last updated on Apr 21, 2026.
  • Viewing page 1 out of 13 pages.
  • Viewing questions 1-5 out of 64 questions
Get All 64 Questions & Answers
Question No. 1

The particular solution of the second-order difference equation

yn+2 - 6yn+1 + 8yn = 0 n 2

subject to the initial conditions y0 = 3 and y1 = 2may be written in the form

yn = A(2n) + B(4n) n 0.

Determine the values of (A, B).

Show Answer Hide Answer
Correct Answer: D

Question No. 2

The variable s can take values between 2 and 6.

Identify which of the inequalities shown can be satisfied by at least one value of s.

Show Answer Hide Answer
Correct Answer: D

Question No. 3

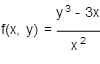
If

Calculate the partial derivative

Show Answer Hide Answer
Correct Answer: C

Question No. 4

Define the partial derivative of f(x, y) with respect to x.

Show Answer Hide Answer
Correct Answer: B

Question No. 5

Calculate the determinant of the product of thematrices given below:

Show Answer Hide Answer
Correct Answer: D

Unlock All Questions for IFoA IFoA_CAA_M0 Exam

Full Exam Access, Actual Exam Questions, Validated Answers, Anytime Anywhere, No Download Limits, No Practice Limits

Get All 64 Questions & Answers