Prepare for the OMG Certified UML Professional 2 (OCUP 2) - Foundation Level exam with our extensive collection of questions and answers. These practice Q&A are updated according to the latest syllabus, providing you with the tools needed to review and test your knowledge.
QA4Exam focus on the latest syllabus and exam objectives, our practice Q&A are designed to help you identify key topics and solidify your understanding. By focusing on the core curriculum, These Questions & Answers helps you cover all the essential topics, ensuring you're well-prepared for every section of the exam. Each question comes with a detailed explanation, offering valuable insights and helping you to learn from your mistakes. Whether you're looking to assess your progress or dive deeper into complex topics, our updated Q&A will provide the support you need to confidently approach the OMG-OCUP2-FOUND100 exam and achieve success.
Choose the correct answer:
Consider the following diagram:

Which statement is true about the diagram?
The diagram you provided shows two classes, G and H, which are within a package named Pckg. Each class has an attribute named 'v' with different visibility and type indicators. The attribute 'v' in class G has visibility 'private' (denoted by '-'), and in class H, it is 'protected' (denoted by '#'). This suggests that the scope of each 'v' is limited to its respective class. Therefore, when you refer to 'v' within the package, its meaning depends on the context or the namespace from which it's accessed.
UML 2.x Superstructure Specification: This defines the rules for scopes and namespaces in UML. It clarifies how elements with the same name can coexist in different namespaces and how their references would differ based on the context.
UML 2.x Infrastructure Specification: Provides the foundational concepts for UML, including the semantics of structured classifiers and namespaces which pertain to the interpretation of the 'v' attribute in different classes.
Choose the correct answer:
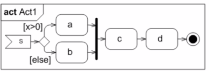
Consider the following diagram:

Which statement is true about the execution of Action c?
The provided image depicts a block diagram with a signal, decisions, and actions. Here's a breakdown of the elements and why answer choice A is the most accurate:
Signal:Represented by a vertical arrow labeled 'Signal', indicating an external stimulus that triggers the process.
Decision Diamond labeled 'x>0':This diamond represents a decision point based on the condition 'x greater than 0'. The flow splits into two paths based on whether the condition is True (Yes) or False (No).
Paths from the Decision:
The True (Yes) path leads to an action labeled 'a'.
The False (No) path leads to an action labeled 'b'.
Action c:This action is positioned below the decision diamond.
Analysis of Action c's Execution:
Upon receiving a Signal, the decision point is evaluated.
Depending on the value of x:
If x is greater than 0 (True path), action 'a' is executed.
If x is not greater than 0 (False path), action 'b' is executed.
In either case (True or False), after the corresponding action (a or b) finishes, action 'c' is then executed once.
Other Answer Choices Analysis:
B . Two or more Signals must be received...The diagram suggests execution upon receiving one Signal.
C . Action c will get executed twice...The diagram indicates c executes only once after either a or b.
D . Nothing can be said...The diagram conveys a clear sequence of actions based on the signal and the decision.
Choose the correct answer:

Consider the following two diagrams:
Which description of these diagrams is true?
Start Node:Represented by a black circle, indicating the starting point of the activity.
Action a:Represented by a rounded rectangle, signifying an action or step within the activity.
Action READY:Another rounded rectangle representing an action.
End Node:A circle with a black dot inside, marking the end point of the activity.
Based on the common elements in both Act1 and Act2:
The activity starts at the designated start node.
It proceeds to action 'a'.
Then it moves to action 'READY'.
Finally, it reaches the end node, signifying completion.
There are no additional branches or loops that would allow for re-starting the activity or re-executing action 'a' multiple times.
Analysis of Other Options:
B . Initial and final nodes are optional...While it's true that initial and final nodes can be implicit in some cases, well-formed activity diagrams typically include them for clarity. Here, both diagrams have them explicitly.
C . In diagram Act1. action a can get executed once...There's no basis to claim a difference in the number of executions of action 'a' between the two diagrams.
D . Diagram Act2 is incomplete...Both diagrams seem complete as they have proper start and end nodes, and the flow goes from start to finish without any ambiguity.
Therefore, considering the structure and execution flow, both Act1 and Act2 will end after the 'READY' action, and no further signals will be accepted, making answer A the most accurate description.
Choose the correct answer:
Which UML term pair captures complementary ways of looking at a relationship?
The UML term pair that captures complementary ways of looking at a relationship is 'aggregation / composition'. Both terms describe types of associations between classes but differ in the degree of ownership and lifecycle dependency between the involved objects. Aggregation implies a weaker relationship where the parent class contains or is linked to other classes but does not strictly control their lifecycle (e.g., a university and its students). Composition, on the other hand, implies a stronger relationship where the parent class has full responsibility for the lifecycle of the associated classes (e.g., a house and its rooms). Understanding these relationships helps model systems more accurately in terms of object ownership and lifecycle management.
Choose the correct answer:
Which object has the highest value that is properly assigned to a salary slot?
A)

B)

C)

D)

E)

In UML, when specifying the value of an attribute in an instance specification (which is what each of these boxes represents), the notation used is generally:
attributeName: Type = Value
Looking at each option provided, we see that they are different representations of numerical values for an attribute named salary of type Real. Here's how to interpret each representation:
A) -salary: Real = ''$10,000.00'' - This uses a string representation of the number, which is generally not how numerical values are assigned in UML, especially with the explicit type Real.
B) -salary: Real = $20,000.00 - This is more typical for showing a real number in UML, though the dollar sign is not part of the actual numerical value and should not be included.
C) -salary: Real = 30000.00 - This is a correct numeric representation of a real number without unnecessary symbols.
D) -salary: Real = 40,000.00 - This is also a correct representation and indeed has the highest numeric value among the options provided.
E) -salary: Real = 500 E 02 - This is scientific notation, which is also a valid representation of real numbers in UML. The value represented here is 500 * 10^2, which equals 50,000.00.
After examining each option, the correct answer is D. Option D, because the instance four:Employee has the highest value properly assigned to a salary slot according to the standard UML notation. However, there's a point to be clarified: while UML does not specify formatting of numbers with commas for thousands or currency symbols, it does accept scientific notation. So, if we were strictly interpreting the values as real numbers, Option E would represent the highest numerical value. But considering proper UML formatting and assuming the intent is to use standard decimal notation without currency symbols or commas, Option D is the best answer.
Full Exam Access, Actual Exam Questions, Validated Answers, Anytime Anywhere, No Download Limits, No Practice Limits
Get All 90 Questions & Answers