Prepare for the Python Institute Certified Associate in Python Programming Exam exam with our extensive collection of questions and answers. These practice Q&A are updated according to the latest syllabus, providing you with the tools needed to review and test your knowledge.
QA4Exam focus on the latest syllabus and exam objectives, our practice Q&A are designed to help you identify key topics and solidify your understanding. By focusing on the core curriculum, These Questions & Answers helps you cover all the essential topics, ensuring you're well-prepared for every section of the exam. Each question comes with a detailed explanation, offering valuable insights and helping you to learn from your mistakes. Whether you're looking to assess your progress or dive deeper into complex topics, our updated Q&A will provide the support you need to confidently approach the Python Institute PCAP-31-03 exam and achieve success.
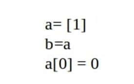
Assuming that the following snippet has been successfully executed, which of the equations are True? (Select two answers)


How many elements will the list1 list contain after execution of the following snippet?
Assuming that the following piece of code has been executed successfully, which of the expressions evaluate to True? (Select two answers)

Full Exam Access, Actual Exam Questions, Validated Answers, Anytime Anywhere, No Download Limits, No Practice Limits
Get All 147 Questions & Answers